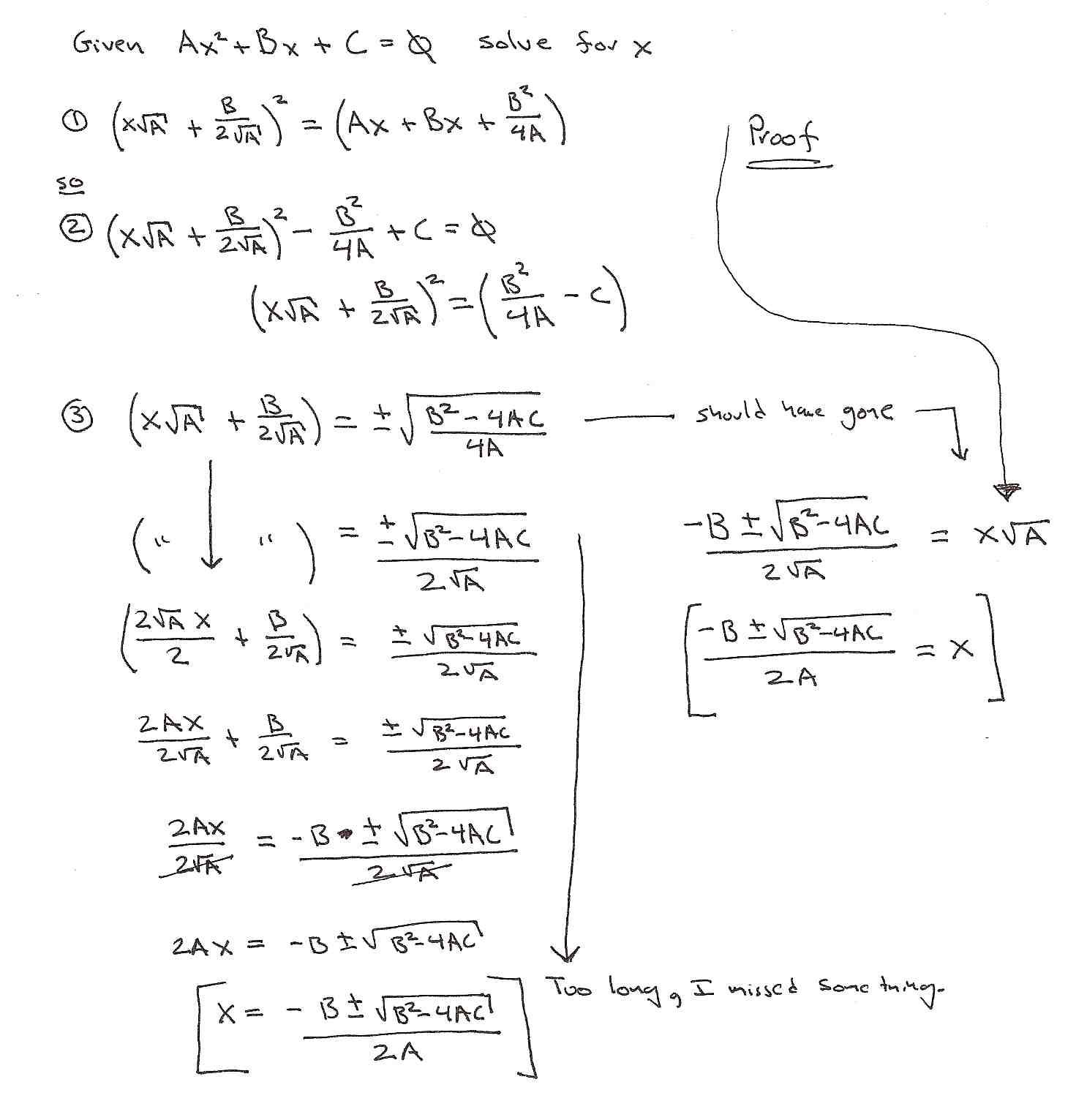
The Problem: Proof of the quadratic equation


So the solution is fairly straight forward as once you get past the fact that it is ok to "guess".

We can see something close with a guess:

	(x(sqrt(A))+(B/(2sqrt(A))))^2 = (Ax+Bx + B^2/4A)
      
then we see a second guess where add in a term to make things work out like we want.
	(x(sqrt(A))+(B/(2sqrt(A))))^2 - (B^2/4A) + C = 0
      

All in all this is an easy problem now that I am comfortable with shaking the table until the math comes out right. However, I remember epically failing on this problem when I was 13 because I just could not wrap my head around "guessing" or adding new terms where needed.


Email -- joeboy(at)hhhh.org
Back to my home page.