The Answer: A consistent sum


[Problem from mathematical quickies - #136 "A Consistent sum"]

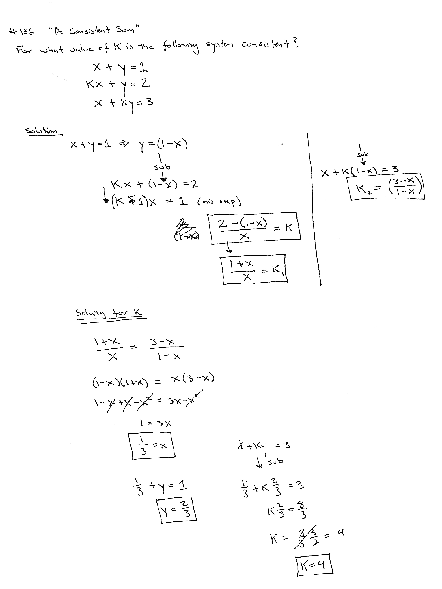
The graphics shows the solution. I did not use a matrix reduction for this solution so it is rather long winded. I am trying to figure out the best way to present simultaneous equations for the book.


Email -- joeboy(at)hhhh.org
Back to my home page.